Question:
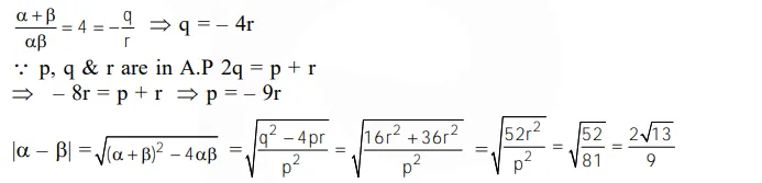
Let $\alpha$ and $\beta$ be the roots of equation $\mathrm{px}^{2}+\mathrm{qx}+\mathrm{r}=0, \mathrm{p} \neq 0$. If $\mathrm{p}, \mathrm{q}, \mathrm{r}$ are in A.P. and $\frac{1}{\alpha}+\frac{1}{\beta}=4$, then the value of $|\alpha-\beta|$ is:
Correct Option: , 4
Solution:
