Solve the equation

Question:

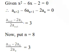
Let $\alpha$ and $\beta$ be the roots of equation $x^{2}-6 x-2=0$. If $a_{n}=\alpha^{n}-\beta^{n}$, for $n \geq 1$, then the value of $\frac{a_{10}-2 a_{8}}{2 a_{9}}$ is equal to :

  1. 3

  2. - 3

  3. - 4

  4. 6


Correct Option: 1

Solution:

Leave a comment