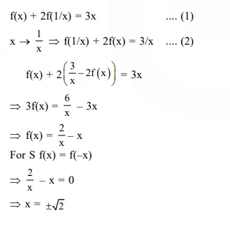
Question: If $f(x)+2 f\left(\frac{1}{x}\right)=3 x, x \neq 0$, and $S=\{x \in R: f(x)=f(-x)\} ;$ then $S:$
contains more than two elements. (2) (3) c (4)
is an empty set.
contains exactly one element
contains exactly two elements
Correct Option: , 4
Solution:
