Solve the equation
Question:
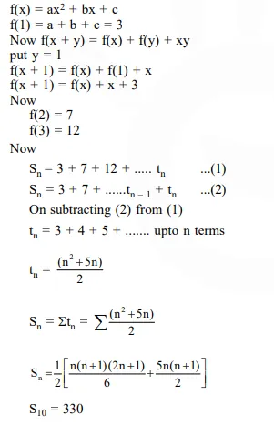
Let $a, b, c \in R$. If $f(x)=a x^{2}+b x+c$ is such that $a+b+c=3$ and $f(x+y)=f(x)+f(y)+$ $x y, \forall x, y \in R$, then $\sum_{n=1}^{10} f(n)$ is equal to :
Correct Option:
Solution:
