Question:
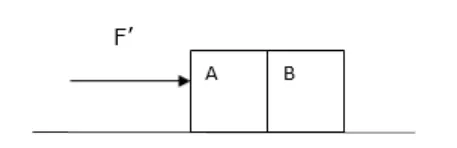
Two blocks $\mathrm{A}$ and $\mathrm{B}$ of mass $\mathrm{mA}$ and $\mathrm{mB}$ respectively are kept in contact on a frictionless table. The experimenter pushes the block $A$ from behind so that the blocks accelerate. If the block $A$ exerts a force $F$ on the block $B$, what is the force exerted by the experimenter on $A$ ?

Solution:

$F^{\prime}-F=m_{a g}$
$\mathrm{F}=\mathrm{mbg}$
$F^{\prime}=\left(m_{a}+m_{b}\right) g$