Solve the following equations:

Question:

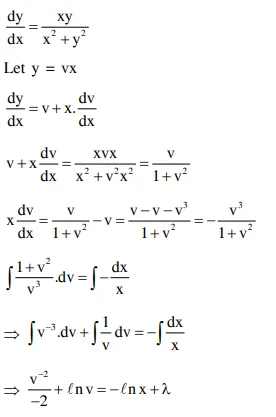
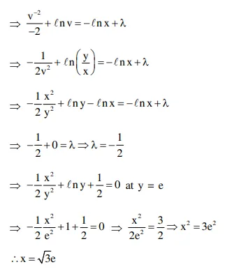
If $\frac{d y}{d x}=\frac{x y}{x^{2}+y^{2}} ; y(1)=1$; then a value of $x$

satisfying $y(x)=e$ is :

  1. $\sqrt{2} \mathrm{e}$

  2. $\frac{\mathrm{e}}{\sqrt{2}}$

  3. $\frac{1}{2} \sqrt{3} \mathrm{e}$

  4. $\sqrt{3} \mathrm{e}$


Correct Option: , 4

Solution:

Leave a comment