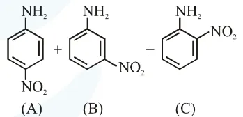
Question: 

Correct statement about the given chemical reaction is :
$-\ddot{\mathrm{NH}}_{2}$ group is ortho and para directive, so product (B) is not possible.
Reaction is possible and compound (B) will be the major product.
The reaction will form sulphonated product instead of nitration.
Reaction is possible and compound (A) will be major product.
Correct Option: , 4
Solution:

Due to formation of anilinium ion by acid base reaction m-product is form as considerable amount.
