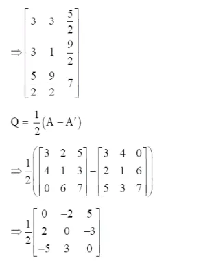
Question:
Express the matrix $A=\left[\begin{array}{lll}3 & 2 & 5 \\ 4 & 1 & 3 \\ 0 & 6 & 7\end{array}\right]$ as sum of two matrices such that one is symmetric and the other is skew-symmetric.
Solution:

$\Rightarrow \frac{1}{2}\left[\begin{array}{ccc}6 & 6 & 5 \\ 6 & 2 & 9 \\ 5 & 9 & 14\end{array}\right]$

