Solve this following
Question:
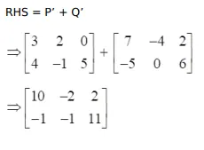
If $P=\left[\begin{array}{rr}3 & 4 \\ 2 & -1 \\ 0 & 5\end{array}\right]$ and $P=\left[\begin{array}{rr}7 & -5 \\ -4 & 0 \\ 2 & 6\end{array}\right]$, verify that $(P+Q)^{\prime}=\left(P^{\prime}+Q^{\prime}\right)$
Solution:


