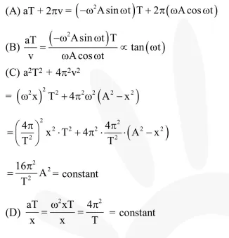
Question: If $x, v$ and a denote the displacement, the velocity and the acceleration of a particle executing simple harmonic motion of time period $\mathrm{T}$, then, which of the following does not change with time ?
$a T+2 \pi v$
$\frac{\mathrm{aT}}{\mathrm{v}}$
$a^{2} T^{2}+4 \pi^{2} v^{2}$
$\frac{a T}{x}$
Correct Option: , 3, 4
Solution:
