Solve this following
Question:
Mark $(\sqrt{)}$ against the correct answer in the following:
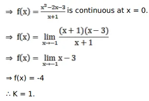
Let $f(x)=\left\{\begin{array}{r}\frac{x^{2}-2 x-3}{x+1^{2}}, \text { when } x \neq-1 \\ k, \text { when } x=-1\end{array}\right.$
If $f(\mathrm{x})$ is continuous at $\mathrm{x}=-1$ then $\mathrm{k}=?$
A. 4
B. $-4$
C. $-3$
D. 2
Solution:
