A charged particle (mass $m$ and charge $q$ ) moves along $X$ axis with velocity $V_{0}$. When it passes through the origin it enters a region having uniform electric field $\overrightarrow{\mathrm{E}}=-E \hat{\mathrm{j}}$ which extends upto $x=d$. Equation of path of electron in the region $x>d$ is :

Correct Option: 1

Let particle have charge $\mathrm{q}$ and mass ' $\mathrm{m}$ '
Solve for $(\mathrm{q}, \mathrm{m})$ mathematically
$\mathrm{F}_{\mathrm{x}}=0, \mathrm{a}_{\mathrm{x}}=0,(\mathrm{v})_{\mathrm{x}}=\mathrm{constant}$
time taken to reach at 'P' $=\frac{\mathrm{d}}{\mathrm{v}_{0}}=\mathrm{t}_{0}$ (let) ...(1)
(Along $-\mathrm{y}$ ), $\mathrm{y}_{0}=0+\frac{1}{2} \cdot \frac{\mathrm{qE}}{\mathrm{m}} \cdot \mathrm{t}_{0}^{2} \ldots(2)$
$\mathrm{V}_{\mathrm{x}}=\mathrm{V}_{0}$
$\mathrm{~V}=\mathrm{u}+\mathrm{at}$
(along -ve 'y')
speed $\mathrm{v}_{\mathrm{y} 0}=\frac{\mathrm{qE}}{\mathrm{m}} \cdot \mathrm{t}_{0}$
$\tan \theta=\frac{\mathrm{v}_{\mathrm{y}}}{\mathrm{v}_{\mathrm{x}}}=\frac{\mathrm{qEt}_{0}}{\mathrm{~m} \cdot \mathrm{v}_{0}},\left(\mathrm{t}_{0}=\frac{\mathrm{d}}{\mathrm{v}_{0}}\right)$
$\tan \theta=\frac{\mathrm{qEd}}{\mathrm{m} \cdot \mathrm{v}_{0}^{2}}$

Now we have to find eq $^{\mathrm{n}}$ of straight line
whose slope is $\frac{-\mathrm{qEd}}{\mathrm{mv}_{0}^{2}}$ and it pass through
point $\rightarrow\left(\mathrm{d},-\mathrm{y}_{0}\right)$
Because after $x>d$
No electric field $\Rightarrow \mathrm{F}_{\text {net }}=0, \quad \overrightarrow{\mathrm{v}}=$ const.
$y=m x+c,\left\{\begin{array}{l}m=\frac{q E d}{m v_{0}^{2}} \\ \left(d,-y_{0}\right)\end{array}\right\}$
$-\mathrm{y}_{0}=\frac{-\mathrm{qEd}}{\mathrm{mv}_{0}^{2}} \cdot \mathrm{d}+\mathrm{c} \Rightarrow \mathrm{c}=-\mathrm{y}_{0}+\frac{\mathrm{qEd}^{2}}{\mathrm{mv}_{0}^{2}}$
Put the value
$\mathrm{y}=\frac{-\mathrm{qEd}}{\mathrm{mv}_{0}^{2}} \mathrm{x}-\mathrm{y}_{0}+\frac{\mathrm{q} \mathrm{Ed}^{2}}{\mathrm{mv}_{0}^{2}}$
$\mathrm{y}_{0}=\frac{1}{2} \cdot \frac{\mathrm{qE}}{\mathrm{m}}\left(\frac{\mathrm{d}}{\mathrm{v}_{0}}\right)^{2}=\frac{1}{2} \frac{\mathrm{qEd}^{2}}{\mathrm{mv}_{0}^{2}}$
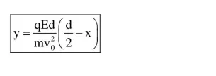
$\mathrm{y}=\frac{-\mathrm{qEdx}}{\mathrm{mv}_{0}^{2}}-\frac{1}{2} \frac{\mathrm{qEd}^{2}}{\mathrm{mv}_{0}^{2}}+\frac{\mathrm{qEd}^{2}}{\mathrm{mv}_{0}^{2}}$
$\mathrm{y}=\frac{-\mathrm{qEd}}{\mathrm{mv}_{0}^{2}} \mathrm{x}+\frac{1}{2} \frac{\mathrm{qEd}^{2}}{\mathrm{mv}_{0}^{2}}$
