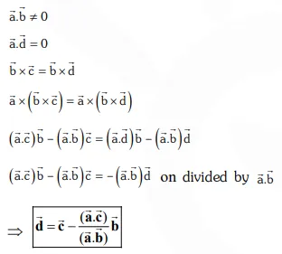
Question: The vectors $\vec{a}$ and $\vec{b}$ are not perpendicular and $\vec{c}$ and $\vec{d}$ are two vectors satisfying : $\overrightarrow{\mathrm{b}} \times \overrightarrow{\mathrm{c}}=\overrightarrow{\mathrm{b}} \times \overrightarrow{\mathrm{d}}$ and $\overrightarrow{\mathrm{a}} \cdot \overrightarrow{\mathrm{d}}=0$. Then the vector $\overrightarrow{\mathrm{d}}$ is equal to :-
$\overrightarrow{\mathrm{b}}+\left(\frac{\overrightarrow{\mathrm{b}} \cdot \overrightarrow{\mathrm{c}}}{\overrightarrow{\mathrm{a}} \cdot \overrightarrow{\mathrm{b}}}\right) \overrightarrow{\mathrm{c}}$
$\overrightarrow{\mathrm{c}}-\left(\frac{\overrightarrow{\mathrm{a}} \cdot \overrightarrow{\mathrm{c}}}{\overrightarrow{\mathrm{a}} \cdot \overrightarrow{\mathrm{b}}}\right) \overrightarrow{\mathrm{b}}$
$\overrightarrow{\mathrm{b}}-\left(\frac{\overrightarrow{\mathrm{b}} \cdot \overrightarrow{\mathrm{c}}}{\overrightarrow{\mathrm{a}} \cdot \overrightarrow{\mathrm{b}}}\right) \overrightarrow{\mathrm{c}}$
$\vec{c}+\left(\frac{\vec{a} \cdot \vec{c}}{\vec{a} \cdot \vec{b}}\right) \vec{b}$
Correct Option: , 2
Solution:
