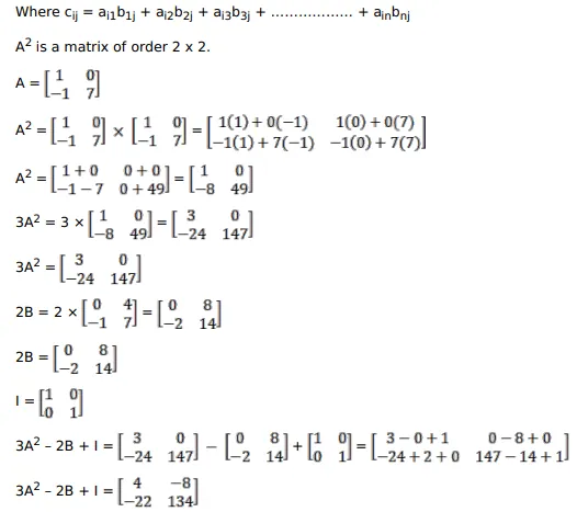
Question:
If $A=\left[\begin{array}{cc}1 & 0 \\ -1 & 7\end{array}\right]$ and $B=\left[\begin{array}{cc}0 & 4 \\ -1 & 7\end{array}\right]$, find $\left(3 A^{2}-2 B+1\right)$
Solution:
Given : $A=\left[\begin{array}{cc}1 & 0 \\ -1 & 7\end{array}\right]$ and $B=\left[\begin{array}{cc}0 & 4 \\ -1 & 7\end{array}\right]$,


