Solve this following
Question:
Mark $(\sqrt{)}$ against the correct answer in the following:
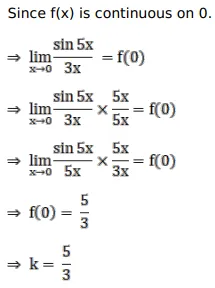
The value of $\mathrm{k}$ for which $f(\mathrm{x})=\left\{\begin{array}{c}\frac{\sin 5 \mathrm{x}}{3 \mathrm{x}}, \text { if } \mathrm{x} \neq 0 \\ \mathrm{k}, \text { if } \mathrm{x}=0\end{array}\right.$ is continuous at $\mathrm{x}=0$ is
A. $\frac{1}{3}$
B. 0
C. $\frac{3}{5}$
D. $\frac{5}{3}$
Solution:
