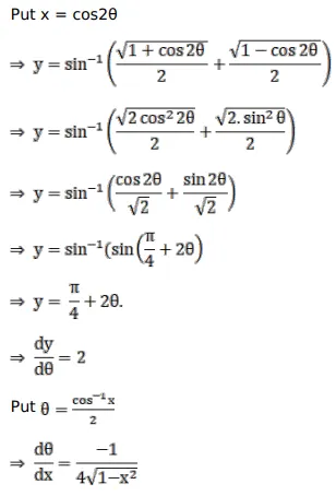
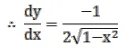
Question:
Mark $(\sqrt{ })$ against the correct answer in the following:
If $y=\sin ^{-1}\left\{\frac{\sqrt{1+x}+\sqrt{1-x}}{2}\right\}$ then $\frac{d y}{d x}=?$
A. $\frac{-1}{2 \sqrt{1-x^{2}}}$
B. $\frac{1}{2 \sqrt{1-x^{2}}}$
C. $\frac{1}{2 \sqrt{1+x^{2}}}$
D. none of these
Solution:

