Solve this following
Question:
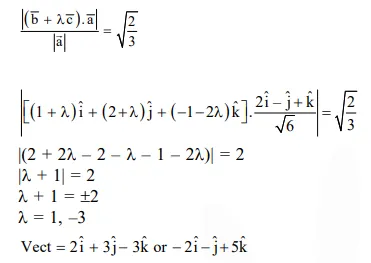
Let $\overrightarrow{\mathrm{a}}=2 \hat{\mathrm{i}}-\hat{\mathrm{j}}+\hat{\mathrm{k}}, \overrightarrow{\mathrm{b}}=\hat{\mathrm{i}}+2 \hat{\mathrm{j}}-\hat{\mathrm{k}}$ and $\overrightarrow{\mathrm{c}}=\hat{\mathrm{i}}+\hat{\mathrm{j}}-2 \hat{\mathrm{k}}$ be three vectors. A vectors of the type $\overrightarrow{\mathrm{b}}+\lambda \overrightarrow{\mathrm{c}}$ for
some scalar $\lambda$, whose projection on $\vec{a}$ is of magnitude $\sqrt{\frac{2}{3}}$, is :
Correct Option: 1
Solution:
