Solve this following

Question:

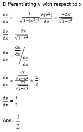
Differentiate $\tan ^{-1} \sqrt{\frac{1-\mathrm{x}^{2}}{1+\mathrm{x}^{2}}}$ with respect to $\cos ^{-1} \mathrm{x}^{2}$

Solution:

 

 

Leave a comment