Question: Mark $(\sqrt{ })$ against the correct answer in each of the following:
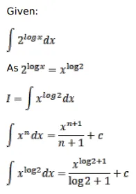
$\int 2^{\log x} d x=?$
A. $\frac{2^{\log x+1}}{(\log x+1)}+C$
B. $\frac{\mathrm{x}^{(\log 2+1)}}{(\log 2+1)}+\mathrm{C}$
C. $\frac{2^{\log x}}{\log 2}+C$ 2adc
D. $\frac{2^{\log x}}{2}+C$
Solution:
