Solve this following
Find the value of $\lambda$ for which $\vec{a}$ and $\vec{b}$ are perpendicular, where
i. $\overrightarrow{\mathrm{a}}=2 \hat{\mathrm{i}}+\lambda \hat{\mathrm{j}}+\hat{\mathrm{k}}$ and $\overrightarrow{\mathrm{b}}=(\hat{\mathrm{i}}-2 \hat{\mathrm{j}}+3 \hat{\mathrm{k}})$
ii. $\overrightarrow{\mathrm{a}}=3 \hat{\mathrm{i}}-\hat{\mathrm{j}}+4 \hat{\mathrm{k}}$ and $\overrightarrow{\mathrm{b}}=-\lambda \hat{\mathrm{i}}+3 \hat{\mathrm{j}}+3 \hat{\mathrm{k}}$
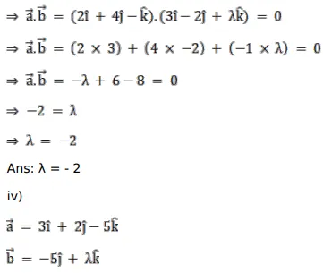
iii. $\overrightarrow{\mathrm{a}}=2 \hat{\mathrm{i}}+4 \hat{\mathrm{j}}-\hat{\mathrm{k}}$ and $\overrightarrow{\mathrm{b}}=3 \hat{\mathrm{i}}-2 \hat{\mathrm{j}}+\lambda \hat{\mathrm{k}}$
iv. $\overrightarrow{\mathrm{a}}=3 \hat{\mathrm{i}}+2 \hat{\mathrm{j}}-5 \hat{\mathrm{k}}$ and $\overrightarrow{\mathrm{b}}=-5 \hat{\mathrm{j}}+\lambda \hat{\mathrm{k}}$



