Question:
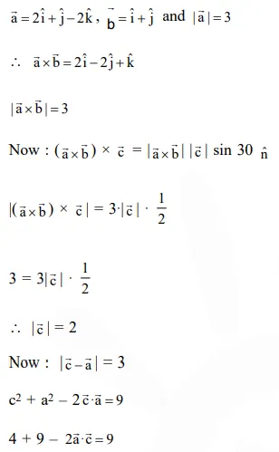
Let $\overrightarrow{\mathrm{a}}=2 \hat{\mathrm{i}}+\hat{\mathrm{j}}-2 \hat{\mathrm{k}}$ and $\overrightarrow{\mathrm{b}}=\hat{\mathrm{i}}+\hat{\mathrm{j}}$. Let $\overrightarrow{\mathrm{c}}$ be a vector such that $|\overrightarrow{\mathrm{c}}-\overrightarrow{\mathrm{a}}|=3,|(\overrightarrow{\mathrm{a}} \times \overrightarrow{\mathrm{b}}) \times \overrightarrow{\mathrm{c}}|=3$ and
the angle between $\overrightarrow{\mathrm{c}}$ and $\overrightarrow{\mathrm{a}} \times \overrightarrow{\mathrm{b}}$ be $30^{\circ}$. Then $\overrightarrow{\mathrm{a}} \cdot \overrightarrow{\mathrm{c}}$ is equal to :
Correct Option: , 3
Solution:

