Question:
Mark $(\sqrt{)}$ against the correct answer in each of the following:
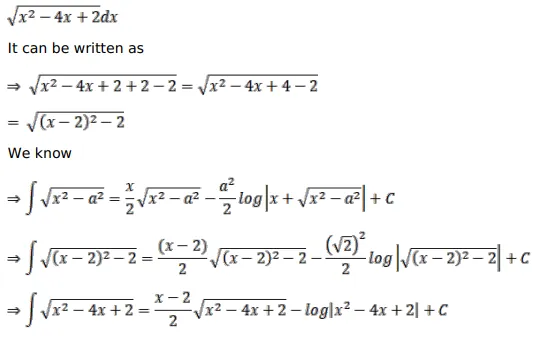
$\int \sqrt{x^{2}-4 x+2} d x=?$
A. $\frac{1}{2}(x-2) \sqrt{x^{2}-4 x+2}+\log \left|(x-2)+\sqrt{x^{2}-4 x+2}\right|+C$
B. $(x-2) \sqrt{x^{2}-4 x+2}+\frac{1}{2} \log \left|(x-2)+\sqrt{x^{2}-4 x+2}\right|+C$
C. $\frac{1}{2}(x-2) \sqrt{x^{2}-4 x+2}-\log \left|(x-2)+\sqrt{x^{2}-4 x+2}\right|+C$
D. none of these
Solution:
