Solve this following
Question:
Mark $(\sqrt{ })$ against the correct answer in each of the following:
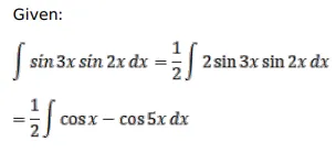
$\int \sin 3 x \sin 2 x d x=?$
A. $-\frac{1}{5} \cos 5 x+C$
B. $\frac{1}{2} \sin x+\frac{1}{10} \sin 5 x-C$
C. $\frac{1}{2} \sin x-\frac{1}{10} \sin 5 x-C$
D. $-\frac{1}{3} \cos 3 x-\frac{1}{2} \sin 2 x+C$
Solution:

