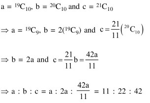
Question: If $\mathrm{a}, \mathrm{b}$ and $\mathrm{c}$ are the greatest value of ${ }^{19} \mathrm{C}_{\mathrm{p}},{ }^{20} \mathrm{C}_{\mathrm{q}}$ and ${ }^{21} C_{r}$ respectively, then
$\frac{a}{11}=\frac{b}{22}=\frac{c}{21}$
$\frac{\mathrm{a}}{10}=\frac{\mathrm{b}}{11}=\frac{\mathrm{c}}{21}$
$\frac{a}{10}=\frac{b}{11}=\frac{c}{42}$
$\frac{a}{11}=\frac{b}{22}=\frac{c}{42}$
Correct Option: , 4
Solution:
