Solve this following
Question:
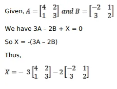
If $\mathrm{A}=\left[\begin{array}{ll}4 & 2 \\ 1 & 3\end{array}\right]$ and $\mathrm{B}=\left[\begin{array}{cc}-2 & 1 \\ 3 & 2\end{array}\right]$, find a matrix $\mathrm{X}$ such that
$3 A-2 B+X=0$
Solution:

