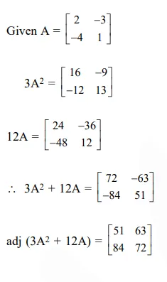
Question: If $\mathrm{A}=\left[\begin{array}{cc}2 & -3 \\ -4 & 1\end{array}\right]$, then adj $\left(3 \mathrm{~A}^{2}+12 \mathrm{~A}\right)$ is equal to :-
$\left[\begin{array}{cc}72 & -63 \\ -84 & 51\end{array}\right]$
$\left[\begin{array}{cc}72 & -84 \\ -63 & 51\end{array}\right]$
$\left[\begin{array}{ll}51 & 63 \\ 84 & 72\end{array}\right]$
$\left[\begin{array}{ll}51 & 84 \\ 63 & 72\end{array}\right]$
Correct Option: , 3
Solution:
