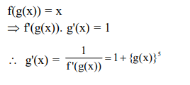
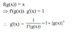
Question: If $\mathrm{g}$ is the inverse of a function $f$ and $f^{\prime}(\mathrm{x})=\frac{1}{1+\mathrm{x}^{5}}$, then $\mathrm{g}^{\prime}(\mathrm{x})$ is equal to :
$1+x^{5}$
$5 x^{4}$
$\frac{1}{1+\{g(x)\}^{5}}$
$1+\{g(x)\}^{5}$
Correct Option: , 4
Solution:
