Solve this following
Question:
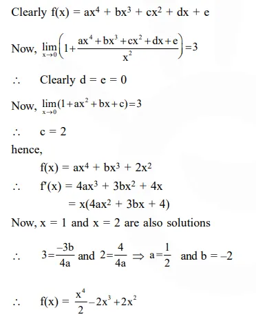
Let $f(\mathrm{x})$ be a polynomial of degree four having extreme values at $\mathrm{x}=1$ and $\mathrm{x}=2$.
If $\lim _{x \rightarrow 0}\left[1+\frac{\mathrm{f}(\mathrm{x})}{\mathrm{x}^{2}}\right]=3$, then $f(2)$ is equal to :
Correct Option: 1
Solution:

