Question:
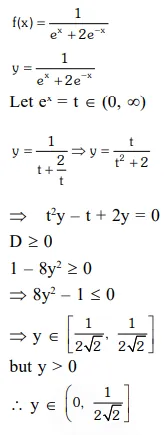
Let $f: R \rightarrow R$ be a continuous function defined by $f(x)=\frac{1}{e^{x}+2 e^{-x}}$
Statement-1 : $\mathrm{f}(\mathrm{c})=\frac{1}{3}$, for some $\mathrm{c} \in \mathrm{R}$
Statement-2 : $0<\mathrm{f}(\mathrm{x}) \leq \frac{1}{2 \sqrt{2}}$, for all $\mathrm{x} \in \mathrm{R}$
Correct Option: 1
Solution:

