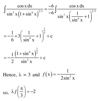
Question: If $\int \frac{\cos x d x}{\sin ^{3} x\left(1+\sin ^{6} x\right)^{2 / 3}}=f(x)\left(1+\sin ^{6} x\right)^{1 / \lambda}+c$
where $\mathrm{c}$ is a constant of integration, then $\lambda f\left(\frac{\pi}{3}\right)$ is equal to
$-2$
$-\frac{9}{8}$
2
$\frac{9}{8}$
Correct Option: 1
Solution:

