Question:
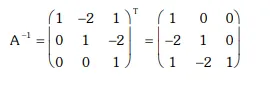
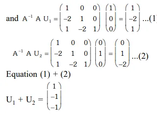
Let $\mathrm{A}=\left(\begin{array}{lll}1 & 0 & 0 \\ 2 & 1 & 0 \\ 3 & 2 & 1\end{array}\right)$. If $\mathrm{u}_{1}$ and $\mathrm{u}_{2}$ are column matrices such that $\mathrm{Au}_{1}=\left(\begin{array}{l}1 \\ 0 \\ 0\end{array}\right)$ and
$A u_{2}=\left(\begin{array}{l}0 \\ 1 \\ 0\end{array}\right)$, then $u_{1}+u_{2}$ is equal to :
Correct Option: 1
Solution:

