Solve this following

Question:

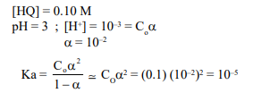
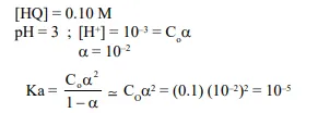
The pH of a $0.1$ molar solution of the acid $\mathrm{HQ}$ is 3 . The value of the ionization constant, Ka

of this acid is :-

 

  1. $1 \times 10^{-7}$

  2. $3 \times 10^{-7}$

  3. $1 \times 10^{-3}$

  4. $1 \times 10^{-5}$


Correct Option: , 4

Solution:

Leave a comment