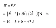
Question:
A force $\overrightarrow{\mathrm{F}}=(5 \hat{\mathrm{i}}+3 \hat{\mathrm{j}}+2 \hat{\mathrm{k}}) \mathrm{N}$ is applied over a particle which displaces it from its origin to the
point $\overrightarrow{\mathrm{r}}=(2 \hat{\mathrm{i}}-\hat{\mathrm{j}}) \mathrm{m}$. The work done on the particle in joules is-
Correct Option: , 2
Solution:
