Question:
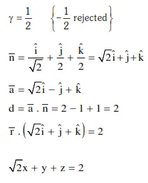
A vector $\overrightarrow{\mathrm{n}}$ is inclined to $\mathrm{x}$-axis at $45^{\circ}$, to $\mathrm{y}$-axis at $60^{\circ}$ and at an acute angle to $\mathrm{z}$-axis. If $\overrightarrow{\mathrm{n}}$ is a normal to a plane passing through the point $(\sqrt{2},-1,1)$, then the equation of the plane is :
Correct Option: , 2
Solution:

