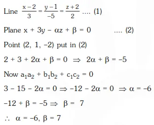
Question: Let the line $\frac{\mathrm{x}-2}{3}=\frac{\mathrm{y}-1}{-5}=\frac{\mathrm{z}+2}{2}$ lie in the plane $\mathrm{x}+3 \mathrm{y}-\alpha \mathrm{z}+\beta=0$. Then $(\alpha, \beta)$ equals
$(5,-15)$
$(-5,5)$
$(6,-17)$
$(-6,7)$
Correct Option: 1
Solution:
