The amplitude of a damped oscillator decreases to
Question:
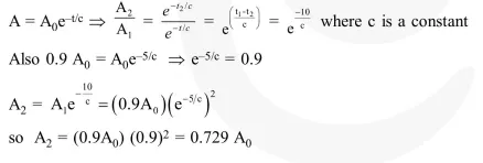
The amplitude of a damped oscillator decreases to $0.9$ times its original magnitude in $5 \mathrm{~s}$. In another $10 \mathrm{~s}$ it will decrease to a times its original magnitude, where a equals:
Correct Option: , 2
Solution:
