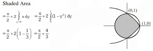
Question: The area of the region described by $A=\left\{(x, y): x^{2}+y^{2} \leq 1\right.$ and $\left.y^{2} \leq 1-x\right\}$ is :
$\frac{\pi}{2}+\frac{4}{3}$
$\frac{\pi}{2}-\frac{4}{3}$
$\frac{\pi}{2}-\frac{2}{3}$
$\frac{\pi}{2}+\frac{2}{3}$
Correct Option: 1
Solution:
