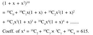
The coefficient of $x^{4}$ is the expansion of $\left(1+x+x^{2}\right)^{10}$ is___________.
Share via...
Or copy link
Leave a comment
All Study Material