Question:
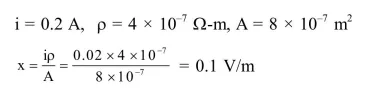
The current in the primary circuit of a potentiometer is $0.2 \mathrm{~A}$. The specific resistance and crosssection of the potentiometer wire are $4 \times 10^{-7} \mathrm{ohm}$ metre and $8 \times 10^{-7} \mathrm{~m}^{2}$ respectively. The potential gradient will be equal to :-
Correct Option: , 4
Solution:
