The de Broglie wavelength of an electron in the

Question:

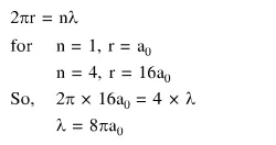
The de Broglie wavelength of an electron in the $4^{\text {th }}$ Bohr orbit is :

 

  1. $8 \pi \mathrm{a}_{0}$

  2. $2 \pi \mathrm{a}_{0}$

  3. $4 \pi \mathrm{a}_{0}$

  4. $6 \pi a_{0}$


Correct Option: 1

Solution:

Leave a comment