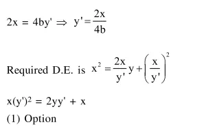
Question: The differential equation of the family of curves, $x^{2}=4 b(y+b), b \in R$, is
$x\left(y^{\prime}\right)^{2}=x+2 y y^{\prime}$
$x\left(y^{\prime}\right)^{2}=2 y y^{\prime}-x$
$x y^{\prime \prime}=y^{\prime}$
$x\left(y^{\prime}\right)^{2}=x-2 y y^{\prime}$
Correct Option: 1
Solution:
