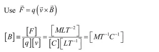
Question: The dimension of magnetic field in $\mathrm{M}, \mathrm{L}, \mathrm{T}$ and $\mathrm{C}$ (Colulomb) is given as
$\mathrm{MLT}^{-1} \mathrm{C}^{-1}$
$\mathrm{MT}^{2} \mathrm{C}^{-2}$
$\mathrm{MT}^{-1} \mathrm{C}^{-1}$
$\mathrm{MT}^{-2} \mathrm{C}^{-1}$
Correct Option: , 3
Solution:
