Question:
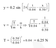
The equation of a wave on a string of linear mass density $0.04 \mathrm{~kg} \mathrm{~m}^{-1}$ is given by
$\mathrm{y}=0.02(\mathrm{~m}) \sin \left[2 \pi\left(\frac{\mathrm{t}}{0.04(\mathrm{~s})}-\frac{\mathrm{x}}{0.50(\mathrm{~m})}\right)\right]$. The tension in the string is :
Correct Option: 1
Solution:
