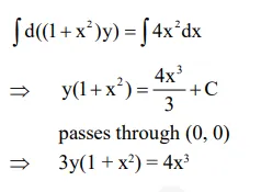
Question: The equation of the curve passing through the origin and satisfying the differential equation $\left(1+x^{2}\right) \frac{d y}{d x}+2 x y=4 x^{2}$ is :
$\left(1+x^{2}\right) y=x^{3}$
$3\left(1+x^{2}\right) y=4 x^{3}$
$3\left(1+x^{2}\right) y=2 x^{3}$
$\left(1+x^{2}\right) y=3 x^{3}$
Correct Option: , 2
Solution:
