The equation of the hyperbola whose foci are

Question:

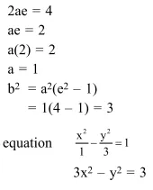
The equation of the hyperbola whose foci are (–2,0) and (2, 0) and eccentricity is 2 is given

by :

  1. $-3 x^{2}+y^{2}=3$

  2. $x^{2}-3 y^{2}=3$

  3. $3 x^{2}-y^{2}=3$

  4. $-x^{2}+3 y^{2}=3$


Correct Option: , 3

Solution:

Leave a comment