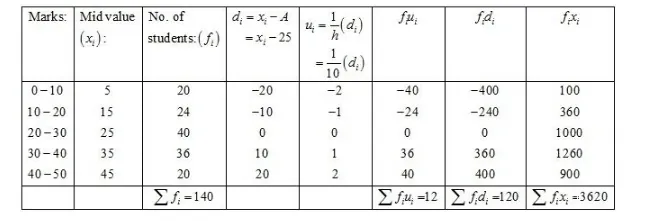
The following table shows the marks scored by 140 students in an examination of a certain paper.
The following table shows the marks scored by 140 students in an examination of a certain paper.

Calculate the average marks by using all the three methods: direct method, assumed mean deviation and shortcut method.
We may prepare the table as shown:

(i) Direct method
We know that mean, $\bar{X}=\frac{\sum f_{i} x_{i}}{\sum f_{i}}$
$=\frac{3620}{140}$
$=25.857$
Hence, the mean is 25.857.
(ii) Short-cut method
Let the assumed mean A = 25.
We know that mean, $\bar{X}=A+\left(\frac{1}{N} \sum f_{i} d_{i}\right)$
$=25+\left(\frac{1}{140} \times(120)\right)$
$=25+\frac{120}{140}$
$=25+0.857$
$=25.857$
Hence, the mean is 25.857.
(iii) Step deviation method
Let the assumed mean A = 25 and h = 10.
We know that mean, $\bar{X}=A+h\left(\frac{1}{N} \sum f_{i} u_{i}\right)$
$=25+10\left(\frac{1}{140} \times(12)\right)$
$=25+\frac{120}{140}$
$=25+0.857$
$=25.857$
Hence, the mean is 25.857.