Question:
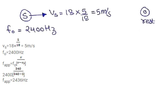
The horn of a car emits sound with a dominant frequency of $2400 \mathrm{~Hz}$. What will be the apparent dominant frequency heard by a person standing on the road in front of the car if the car is approaching at $18.0 \mathrm{~km} \mathrm{~h}^{-1}$ ? Speed of sound in air $=340 \mathrm{~m} \mathrm{~s}^{-}$ 1
Solution:
