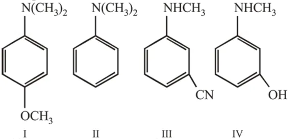
Question: The increasing order of $\mathrm{p} K_{\mathrm{b}}$ values of the following compounds is :

$\mathrm{II}<\mathrm{IV}<\mathrm{III}<\mathrm{I}$
$\mathrm{I}<\mathrm{II}<\mathrm{IV}<\mathrm{III}$
$\mathrm{II}<\mathrm{I}<\mathrm{III}<\mathrm{IV}$
$\mathrm{I}<\mathrm{II}<\mathrm{III}<\mathrm{IV}$
Correct Option: , 2
Solution:
