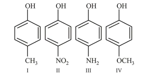
Question: The increasing order of boiling points of the following compounds is :

$\mathrm{I}<\mathrm{III}<\mathrm{IV}<\mathrm{II}$
$\mathrm{I}<\mathrm{IV}<\mathrm{III}<\mathrm{II}$
$\mathrm{IV}<\mathrm{I}<\mathrm{II}<\mathrm{III}$
$\mathrm{III}<\mathrm{I}<\mathrm{II}<\mathrm{IV}$
Correct Option: , 2
Solution:
(II) and (III) compounds almost have same boiling point. In the given options, option (b) will be the correct answer.

