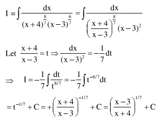
Question: The integral $\int \frac{d x}{(x+4)^{\frac{8}{7}}(x-3)^{\frac{6}{7}}}$ is equal to :
(where $\mathrm{C}$ is a constant of integration)
$\left(\frac{x-3}{x+4}\right)^{\frac{1}{7}}+C$
$-\left(\frac{x-3}{x+4}\right)^{\frac{1}{7}}+C$
$\frac{1}{2}\left(\frac{x-3}{x+4}\right)^{\frac{3}{7}}+C$
$-\frac{1}{13}\left(\frac{x-3}{x+4}\right)^{-\frac{13}{7}}+C$
Correct Option: 1
Solution:
